Home > Product center
Sodium carboxymethyl cellulose
Product Overview

Sodium carboxymethylcellulose cellulose is the most widely used cellulose in the world today. It is a cellulose derivative with glucose polymerization degree of 100-2000. Otomless, hygroscopic, soluble in water, insoluble in ethanol, ether. It is white or milky white fibrous powder or particles, odorless, with hygroscopic properties. It is easily dispersed in water into a transparent adhesive solution and is insoluble in organic solvents such as ethanol.

Buy Now
Product function categories and applications

1、It has the functions of adhesion, thickening, emulsification, water retention, suspension and so on. It can be used as flocculant, aroxer, emulsifier, thickening agent, water retaining agent, slurry agent, film forming material, etc.

2、Used as a thickener in the food industry.

3、Used as a pharmaceutical carrier in the pharmaceutical industry, it can be used as an emulsion stabilizer for injection agent, a tablet binder and film-forming agent,

4、Used as a binder in the daily chemical industry.

5、Protective colloid for slurry and printing paste in printing industry: it can be used as a component of oil pressure in petrochemical industry.

Product Summary

Nonproprietary Names: Carboxymethylcellulose sodium

Nickname: CMC

Chemical Name: carboxymethylcellulose sodium

CAS accession number: 9004-32-4

EINECS Accession number: 618-378-6

Molecular Formula:C6H702(OH)2OCHCOONa

Molecular Weight: 265.204 g / mol

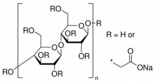
Structural formula:

Synonyms: cellulose, cellulose glue, carboxymethylcellulose sodium

MSDS specifications and MSDS

apparent

White powder

Viscosity (2% aqueous solution, 20°C, mp)

100000

ash content,%

5 Maximum value

water-insoluble,%

Maximum 0.5

pH

6.0-8.5

Contact the product manager for specific product specifications and MSDS.

Product packaging and storage

Packaging: 25kg / bag, 20kg / bag

Storage: should be stored in a ventilated, dry, cool warehouse, should be fire prevention.

Shelf life: 2 years (not unsealed)

Product Packaging